
The results of empirical trials with proton pump inhibitors (PPIs) for management of gastro-oesophageal reflux-induced chronic cough (GERC) have resulted in considerable controversy, and the mechanism of PPI refractoriness remains unclear. Our study aims to identify the predictors of PPI refractoriness of GERC in a retrospective clinical study.
In total, 128 GERC patients were enrolled between March 2018 and October 2022. Regression analysis was utilised to create a model for predicting PPI-refractory of GERC using retrospective analysis of the general data and MII-pH indicators.
The post-reflux swallow induced peristaltic wave index (PSPWI) was lower in the PPI-refractory group than the PPI-responsive group (33.89±7.38 versus 39.45±9.47, respectively, p<0.001), as were the mean nocturnal baseline impedance (MNBI) and proximal MNBI (2092.11 (IQR: 652.23)] versus 2426.52 (IQR: 917.39) ?, respectively, p=0.012; 1599.50 (IQR: 1206.63) versus 2274.50 (IQR: 1775.29) ?, respectively, p=0.001). Multivariate logistic regression analysis identified the PSPWI (odds ratio 0.919, p=0.001) as an independent predictor of PPI-refractory GERC.
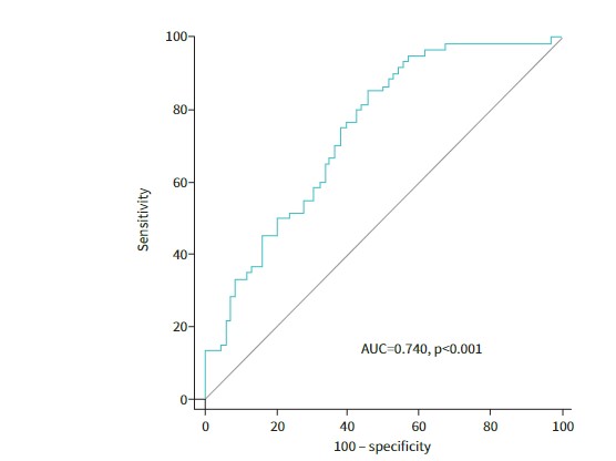
The diagnostic value of both proximal MNBI ?39.90% and MNBI ?2233.58?? had moderate sensitivity (71.67%) and specificity (75.00%) to identify PPI-refractory GERC.