
Treatable traits (TTs) can effectively conduct personalized assessment and treatment for patients with mild to moderate COPD. After excluding the classic treatable traits, are there still some neglected TTs?
We evaluated associations of IOS-defined airway abnormalities (AA) with respiratory health outcomes and prognoses in patients with mild-to-moderate COPD.
We analyzed the baseline and 3-year follow-up data from a prospective cohort in China. The patients with mild-to-moderate COPD were enrolled excluded classic TTs (CAT≥10, mMRC≥2, frequent acute exacerbations [AE], and FEV1%pred<60%). AA were defined based on IOS parameter resonant frequency greater than upper limit of normal. Differences in lung function decline and AE were examined between groups with AA and without AA in patients with mild-to-moderate COPD.
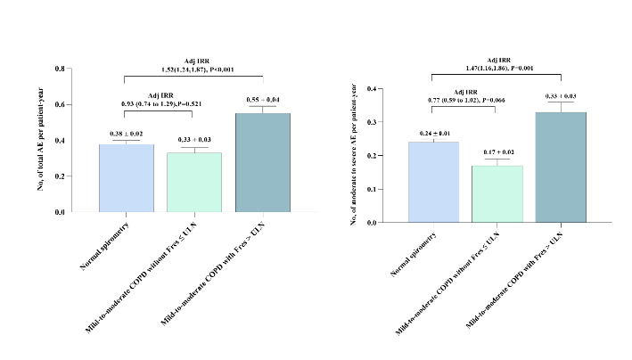
1328 participants were finally enrolled (799 normal spirometry, 230 without AA and 299 with AA in mild to moderate COPD). The AA groups were older and exhibited worse lung function, higher symptom scores, and worse image abnormalities than other groups. During 3-year follow-up, compared with group with normal spirometry, a larger FEV1 decline and a higher risk of total AE were observed in AA groups, but no differences in a FEV1 decline and total AE were found in groups with normal spirometry and groups without AA.
The AA group in mild to moderate COPD experienced worse image abnormalities, a higher risk of AE and a faster FEV1 decline. These results suggested that AA may be a special TTs in patients with mild-to-moderate COPD.