
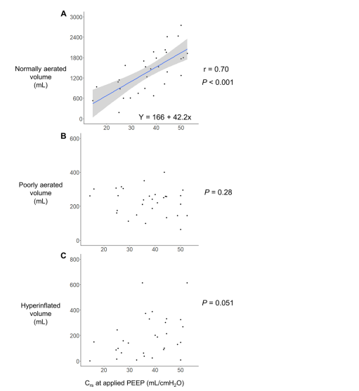
Normally aerated lung tissue on computed tomography (CT) is correlated with static respiratory system compliance (Crs) at zero end-expiratory pressure. In clinical practice, however, patients with acute respiratory failure are often managed using elevated PEEP levels. No study has validated the relationship between lung volume and tissue and Crs at the applied positive end-expiratory pressure (PEEP). Therefore, this study aimed to demonstrate the relationship between lung volume and tissue on CT and Crs during the application of PEEP for the clinical management of patients with acute respiratory distress syndrome due to COVID-19. Additionally, as a secondary outcome, the study aimed to evaluate the relationship between CT characteristics and Crs, considering recruitability using the recruitment-to-inflation ratio (R/I ratio). We analyzed the CT and respiratory mechanics data of 30 patients with COVID-19 who were mechanically ventilated. The CT images were acquired during mechanical ventilation at PEEP level of 15 cmH2O and were quantitatively analyzed using Synapse Vincent system version 6.4 (Fujifilm Corporation, Tokyo, Japan). Recruitability was stratified into two groups, high and low recruitability, based on the median R/I ratio of our study population. Thirty patients were included in the analysis with the median R/I ratio of 0.71. A significant correlation was observed between Crs at the applied PEEP (median 15 [interquartile range (IQR) 12.2, 15.8]) and the normally aerated lung volume (r?=?0.70 [95% CI 0.46–0.85], P?<?0.001) and tissue (r?=?0.70 [95% CI 0.46–0.85], P?<?0.001). Multivariable linear regression revealed that recruitability (Coefficient?=???390.9 [95% CI ??725.0 to ??56.8], P?=?0.024) and Crs (Coefficient?=?48.9 [95% CI 32.6–65.2], P?<?0.001) were significantly associated with normally aerated lung volume (R-squared: 0.58). In this study, Crs at the applied PEEP was significantly correlated with normally aerated lung volume and tissue on CT. Moreover, recruitability indicated by the R/I ratio and Crs were significantly associated with the normally aerated lung volume. This research underscores the significance of Crs at the applied PEEP as a bedside-measurable parameter and sheds new light on the link between recruitability and normally aerated lung.