Berita Kesehatan
ERS/ATS Global Lung Function Initiative normal values and classifying severity based on z-scores instead of per cent predicted
Jumat, 20 Des 2024 08:50:26

Abstract

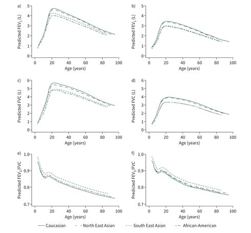
Among the most discussed issues in the field of pulmonary function testing are reference equations and standardised methods of interpreting pulmonary function test (PFT) results. The Global Lung Function Initiative (GLI) task force gathered information from multiple countries with diverse ethnicities to create a multi-ethnic reference formula suitable for a broad age range. Their first output was the GLI-2012 spirometry reference equations. Together with the GLI-2012 reference equations, the GLI document recommended the use of z-scores to standardise the interpretation of PFT results. Z-scores were introduced as an alternative to per cent predicted and fixed thresholds in interpreting PFTs. After more than a decade, there is still debate on which method of interpretation is better.